上海瀚香生物科技有限公司
全国咨询热线:13472751340
   
菜单 Close 公司首页 公司介绍 公司动态 产品展厅 证书荣誉 联系方式 在线留言
新闻中心
联系我们
    • 联系人:刘经理
    • 手 机:13472751340
    • 电 话:13472751340
    • 邮 箱:amber@biochempartner.net
    • 公 司:上海瀚香生物科技有限公司
    • 地 址:张江路
新闻中心

利巴韦一款跨越半个世纪的广谱抗病毒药物

发表时间:2026-04-27

化合物概述与物化性质

利巴韦林(Ribavirin,CAS号36791-04-5)是一种人工合成的核苷类抗病毒药物,自20世纪70年代问世以来,在病毒性疾病治疗领域发挥着重要作用。其化学名称为1-β-D-呋喃核糖基-1H-1,2,4-三氮唑-3-羧酰胺,分子式为C8H12N4O5,分子量约为244.20。

利巴韦林化学结构式

该化合物呈白色或类白色结晶性粉末状态,无臭无味。在物理化学性质方面,利巴韦林的熔点为174-176℃,精制品存在两种晶形,熔点范围为160-167℃。比旋光度D25为-36.5°(c=1,水)。密度约为1.43 g/cm3,沸点约为387℃。

在水中的溶解性表现突出,室温下(19℃)可溶解超过10g/100mL。微溶于乙醇、氯仿和乙醚等有机溶剂。这种良好的水溶性为口服和注射剂型的开发提供了基础。

储存方面,利巴韦林应在避光、密闭条件下保存,推荐温度为2-8℃。在常温环境中可保持稳定,无需特殊冷冻处理。

研发历程

利巴韦林的发现是抗病毒药物发展史上的重要里程碑。1970年,美国ICN公司(现Valeant Pharmaceuticals)的化学家Joseph T. Witkovski和Ronald K. Robins成功合成了这一化合物[1]。

1972年,研究团队首次报道利巴韦林对多种DNA和RNA病毒具有抑制活性[2]。这一发现引起了医学界的广泛关注。最初,研究者试图将其开发为抗流感药物,但在人体试验中结果不一致,导致这一适应症未能获得批准。

尽管如此,利巴韦林的抗病毒潜力在其他领域得到了验证。1986年,美国食品药品监督管理局(FDA)批准利巴韦林用于治疗婴幼儿**呼吸道合胞病毒(RSV)**感染引起的病毒性肺炎与支气管炎,这是该药获得的第一个治疗性适应症[3]。

1998年,利巴韦林与干扰素α联合用于慢性丙型肝炎治疗的方案获得FDA批准。这一联合疗法在相当长的时间内成为丙型肝炎的标准治疗方案之一,直到直接抗病毒药物(DAA)问世[4]。

值得一提的是,利巴韦林的抗病毒机制至今尚未完全明确。目前研究认为,其作用涉及多重机制,包括抑制肌苷单磷酸脱氢酶活性,从而阻断鸟苷酸的合成,最终抑制病毒RNA和DNA的复制[5]。

制备方法

目前利巴韦林的工业化生产主要采用化学合成法,酶合成法和微波辅助合成法也有相关研究报道。

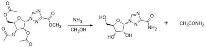
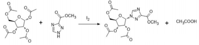
化学合成法是应用最广泛的方法。以鸟苷或鸟苷酸为起始原料,在冰醋酸和醋酐作用下水解生成核糖-1-磷酸。随后,核糖-1-磷酸与三叠氮缩酰胺发生缩合反应生成缩合物。最后,在碱性条件下进行氨解,即可得到利巴韦林粗品,经纯化后得到精制品。

利巴韦林化学合成法

利巴韦林化学合成法

酶合成法利用嘧啶核苷磷酸化酶和嘌呤核苷酸化酶催化反应。这种方法具有条件温和、环境友好等优点,但目前尚未实现大规模工业化生产。

微波辅助合成法是近年来发展的新技术。四乙酰核糖与三氮唑甲酯在微波条件下发生缩合反应,再经氨解得到利巴韦林。微波辐射能够显著加速反应进程,缩短反应时间,提高产率。

临床适应症

利巴韦林作为一种广谱抗病毒药物,在多个临床领域有着应用。

呼吸道合胞病毒感染是利巴韦林的传统适应症。RSV是引起婴幼儿下呼吸道感染的重要病原体,可导致毛细支气管炎和肺炎。对于重症婴幼儿患者,利巴韦林雾化吸入给药可改善临床症状。

慢性丙型肝炎曾是利巴韦林最主要的临床应用。与聚乙二醇干扰素α联合使用时,利巴韦林能够提高持续病毒学应答率。随着直接抗病毒药物(DAA)的普及,这种联合方案已逐渐被取代。

流行性出血热的治疗中,利巴韦林在早期患者中显示出较好疗效。早期用药有助于减轻症状、缩短病程。

单纯疱疹病毒性角膜炎可采用利巴韦林滴眼液治疗。该制剂局部给药可直接作用于感染部位,减少全身不良反应。

拉沙热是一种由拉沙病毒引起的急性传染病,在西非地区流行。利巴韦林被用于拉沙热的治疗研究,显示一定的临床效果。

临床应用特点与局限性

利巴韦林的抗病毒机制主要是通过抑制肌苷单磷酸脱氢酶,阻断鸟苷酸合成,从而抑制病毒RNA和DNA的复制。这种机制使其对多种DNA和RNA病毒具有抑制作用,表现出广谱抗病毒特性。

然而,临床应用中存在明显的局限性。研究表明,利巴韦林对流感病毒感染、单纯疱疹病毒感染和轻症手足口病不推荐使用[6]。这意味着,并非所有病毒感染都适合使用利巴韦林,临床决策需要基于病原学诊断和循证医学证据。

特殊注意事项与安全

利巴韦林的临床应用需要严格评估患者情况,以下人群禁用或需谨慎使用:

孕妇禁用。利巴韦林具有明确的致畸性,可透过胎盘屏障,对胎儿产生不良影响。育龄期女性在治疗期间及停药后9个月内需采取有效避孕措施。男性患者在用药期间及停药后6个月内也需避孕[7]。

心脏病史或严重贫血病史的患者禁用利巴韦林。该药可引起红细胞破坏,导致或加重溶血性贫血,心脏病患者使用可能增加心血管事件风险。

肝肾功能不全患者需调整剂量或禁用。药物主要通过肾脏排泄,肾功能减退时需密切监测血药浓度,避免药物蓄积。

其他常见不良反应包括头痛、恶心等,多为轻中度,可对症处理后继续用药或停药。

常见问题FAQ

Q:利巴韦林和干扰素是什么关系?

A:利巴韦林本身不直接杀灭病毒,它的作用是增强干扰素的抗病毒效果。两者联合使用可提高丙型肝炎的治疗效果,这曾是多年的标准治疗方案。

Q:利巴韦林可以治疗感冒吗?

A:不推荐。普通感冒主要由鼻病毒等引起,利巴韦林对这类病毒无效。且该药存在溶血性贫血、致畸等严重不良反应风险,用药获益不足以覆盖风险。

Q:利巴韦林雾化吸入适用于哪些患者?

A:主要用于治疗婴幼儿RSV引起的重症肺炎和支气管炎。雾化吸入可提高呼吸道局部药物浓度,减少全身暴露。

Q:利巴韦林的储存条件是什么?

A:避光、密闭保存,推荐温度为2-8℃。常温下稳定,不可冷冻。

参考文献

[1] Witkowski JT, Robins RK, Sidwell RW, et al. Design, synthesis, and broad spectrum antiviral activity of 1-β-D-ribofuranosyl-1,2,4-triazole-3-carboxamide and related nucleosides. Journal of Medicinal Chemistry, 1972, 15(11): 1150-1154.

[2] Sidwell RW, Huffman JH, Khare GP, et al. Broad-spectrum antiviral activity of Virazole: 1-β-D-ribofuranosyl-1,2,4-triazole-3-carboxamide. Science, 1972, 177(4050): 705-706.

[3] Hall CB, McBride JT, Walsh EE, et al. Aerosolized ribavirin treatment of infants with respiratory syncytial viral infection: a randomized double-blind study. New England Journal of Medicine, 1983, 308(24): 1443-1447.

[4] Poynard T, Marcellin P, Lee SS, et al. Randomised trial of interferon α2b plus ribavirin for 48 weeks or for 24 weeks versus interferon α2b plus placebo for 48 weeks for treatment of chronic infection with hepatitis C virus. The Lancet, 1998, 352(9138): 1426-1432.

[5] Leyssen P, De Clercq E, Neyts J. Molecular mechanisms underlying the activity of ribavirin. Clinical Infectious Diseases, 2008, 47(Supplement 4): S328-S336.

[6] 中华人民共和国国家卫生健康委员会. 流行性感冒诊疗方案(2020年版). 2020.

[7] U.S. Food and Drug Administration. Ribavirin (Copegus, Rebetol, Ribasphere) Full Prescribing Information. 2015.

[8] World Health Organization. Therapeutics and COVID-19: Living Guideline. WHO, 2021.

本文内容基于公开发表的科学研究数据,由瀚香生物收集整理,仅供科研人员参考与学术交流,不可用于个人用途。

联系方式
手机:13472751340
Q Q:
微信扫一扫